English
全部
搜索
图片
视频
短视频
地图
资讯
更多
购物
航班
旅游
笔记本
报告不当内容
请选择下列任一选项。
无关
低俗内容
成人
儿童性侵犯
时长
全部
短(小于 5 分钟)
中(5-20 分钟)
长(大于 20 分钟)
日期
全部
过去 24 小时
过去一周
过去一个月
去年
清晰度
全部
低于 360p
360p 或更高
480p 或更高
720p 或更高
1080p 或更高
源
全部
Dailymotion
Vimeo
Metacafe
Hulu
VEVO
Myspace
MTV
CBS
Fox
CNN
MSN
价格
全部
免费
付费
清除筛选条件
安全搜索:
中等
严格
中等(默认)
关闭
筛选器
6:40
Study.com
Basic Calculus Types, Formulas & Rules
In this lesson, learn what basic calculus is. Moreover, discover the differential and integral calculus formulas and learn how to solve basic calculus problems with examples.
已浏览 2.8万 次
2017年5月9日
短视频
0:07
Chain Rule of Differentiation || Derivative of (x^2+3x+2)^6 #shorts #maths #mathmatiqs
Muhammad Irshad
0:09
已浏览 77 次
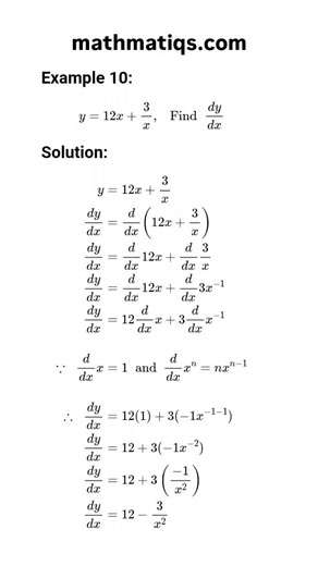
Basic Differentiation || Derivative of y=12x+3/x #shorts #maths #mathmatiqs
Muhammad Irshad
Calculus Problem Solving
5:01
Solving complex problems using calculus: Step-by-step guide
MSN
Brain Station Advanced
2 个月之前
Differential Calculus Word Problems with Solutions
onlinemath4all.com
2019年10月28日
0:13
Simplifying Calculus Problems: Fun Learning Tips
TikTok
fundave_mrshortcut
已浏览 5858 次
1 个月前
热门视频
Calculus - Derivatives (examples, solutions, videos)
onlinemathlearning.com
2010年1月28日
11:20
Concept of the Day | Theorems of Differentiation | MATHS | JEE 2021/2022 l Keshav Sir | BYJU'S JEE
byjus.com
已浏览 6.6万 次
2021年8月13日
11:05
Definite Integral
YouTube
The Organic Chemistry Tutor
已浏览 162.7万 次
2018年3月8日
Calculus Examples and Solutions
5:24
Calculus Purpose & Applications in Real Life
Study.com
已浏览 2.6万 次
2023年7月3日
Integration Problems in Calculus | Examples & Solutions
Study.com
已浏览 9600 次
2015年11月9日
31:29
Trigonometric Integrals
YouTube
The Organic Chemistry Tutor
已浏览 250.3万 次
2021年3月26日
Calculus - Derivatives (examples, solutions, videos)
2010年1月28日
onlinemathlearning.com
11:20
Concept of the Day | Theorems of Differentiation | MATHS | JEE 2021
…
已浏览 6.6万 次
2021年8月13日
byjus.com
11:05
Definite Integral
已浏览 162.7万 次
2018年3月8日
YouTube
The Organic Chemistry Tutor
19:50
Trigonometric Substitution
已浏览 217.6万 次
2021年3月26日
YouTube
The Organic Chemistry Tutor
5:46
Initial Value Problem
已浏览 101.5万 次
2019年11月26日
YouTube
The Organic Chemistry Tutor
32:06
Work Problems - Calculus
已浏览 61.4万 次
2018年3月12日
YouTube
The Organic Chemistry Tutor
11:04
Intermediate Value Theorem
已浏览 36.1万 次
2018年2月22日
YouTube
The Organic Chemistry Tutor
26:55
Homogeneous Differential Equations
已浏览 154.6万 次
2018年3月24日
YouTube
The Organic Chemistry Tutor
5:26
[Calculus] Challenging Limits Examples
已浏览 2.3万 次
2016年6月11日
YouTube
TrevTutor
1:04:56
Optimization Problems - Calculus
已浏览 178.9万 次
2021年4月26日
YouTube
The Organic Chemistry Tutor
13:09
L'hopital's rule
已浏览 284.4万 次
2018年3月5日
YouTube
The Organic Chemistry Tutor
32:52
Integration By Parts
已浏览 406万 次
2021年3月25日
YouTube
The Organic Chemistry Tutor
14:34
Implicit Differentiation
已浏览 172万 次
2018年2月26日
YouTube
The Organic Chemistry Tutor
14:13
Basic Integration Problems
已浏览 117万 次
2018年3月7日
YouTube
The Organic Chemistry Tutor
11:12
Limit Comparison Test
已浏览 94.4万 次
2018年3月30日
YouTube
The Organic Chemistry Tutor
21:19
Finding Critical Numbers
已浏览 79万 次
2018年3月3日
YouTube
The Organic Chemistry Tutor
18:08
Mathematical Induction Practice Problems
已浏览 236.2万 次
2018年2月20日
YouTube
The Organic Chemistry Tutor
19:40
Mean Value Theorem
已浏览 149万 次
2018年3月4日
YouTube
The Organic Chemistry Tutor
17:54
Optimization Calculus 1 - 2 Problems
已浏览 21.6万 次
2014年11月4日
YouTube
Calcworkshop.com - Calculus Videos
19:32
Rolle's Theorem
已浏览 83.1万 次
2018年3月3日
YouTube
The Organic Chemistry Tutor
52:51
Calculus 1 - Derivatives
已浏览 448.4万 次
2018年7月9日
YouTube
The Organic Chemistry Tutor
11:08
Introduction to Limits
已浏览 48.8万 次
2017年5月30日
YouTube
The Organic Chemistry Tutor
20:00
Disk & Washer Method - Calculus
已浏览 211.5万 次
2021年1月4日
YouTube
The Organic Chemistry Tutor
17:44
Limits and Absolute Value
已浏览 68.3万 次
2018年2月21日
YouTube
The Organic Chemistry Tutor
41:07
Integration By Partial Fractions
已浏览 361.7万 次
2021年3月24日
YouTube
The Organic Chemistry Tutor
10:55
Optimization Problems in Calculus
已浏览 28.1万 次
2018年4月10日
YouTube
Professor Dave Explains
1:00:33
Partial Derivatives - Multivariable Calculus
已浏览 250.3万 次
2017年5月19日
YouTube
The Organic Chemistry Tutor
11:11
Product Rule For Derivatives
已浏览 158.4万 次
2018年2月25日
YouTube
The Organic Chemistry Tutor
21:35
How To Integrate Using U-Substitution
已浏览 397.4万 次
2021年4月19日
YouTube
The Organic Chemistry Tutor
观看更多视频
更多类似内容
反馈